LeetCode Solution, Easy, 700. Search in a Binary Search Tree
在二元搜尋數中搜尋

700. Search in a Binary Search Tree
題目敘述
You are given the root of a binary search tree (BST) and an integer val.
Find the node in the BST that the node's value equals val and return the subtree rooted with that node. If such a node does not exist, return null.
Example 1:

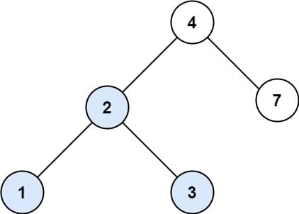
Input: root = [4,2,7,1,3], val = 2
Output: [2,1,3]
Example 2:

Input: root = [4,2,7,1,3], val = 5
Output: []
Constraints:
- The number of nodes in the tree is in the range
[1, 5000]. 1 <= Node.val <= 10**7rootis a binary search tree.1 <= val <= 10**7
題目翻譯
這題的需求很簡單就跟標題一樣,要在二元搜尋數中找出跟參數 val 一樣的節點,並且回傳以該節點為根節點的子樹。如果沒有相同值的節點,就回傳 null。
解法解析
可以看到下面的範例,基本上的解法就可以分為兩種:Recursion 和 Iteration。Iteration 的方式看起來是最好的,在跟 Recursion 差不多的時間複雜度下,有更好的空間複雜度。這邊真的想抱怨 Rust 怎麼取個屬性這麼麻煩,寫起來真煩一長串的。
解法範例
Go
Recursion
/**
* Definition for a binary tree node.
* type TreeNode struct {
* Val int
* Left *TreeNode
* Right *TreeNode
* }
*/
func searchBST(root *TreeNode, val int) *TreeNode {
if root == nil || root.Val == val {
return root
}
if root.Val > val {
return searchBST(root.Left, val)
} else {
return searchBST(root.Right, val)
}
}
Iteration
/**
* Definition for a binary tree node.
* type TreeNode struct {
* Val int
* Left *TreeNode
* Right *TreeNode
* }
*/
func searchBST(root *TreeNode, val int) *TreeNode {
for root != nil && root.Val != val {
if root.Val > val {
root = root.Left
} else {
root = root.Right
}
}
return root
}
JavaScript
Recursion
/**
* Definition for a binary tree node.
* function TreeNode(val, left, right) {
* this.val = (val===undefined ? 0 : val)
* this.left = (left===undefined ? null : left)
* this.right = (right===undefined ? null : right)
* }
*/
/**
* @param {TreeNode} root
* @param {number} val
* @return {TreeNode}
*/
var searchBST = function (root, val) {
if (!root || root.val === val) return root;
return root.val > val
? searchBST(root.left, val)
: searchBST(root.right, val);
};
Iteration
/**
* Definition for a binary tree node.
* function TreeNode(val, left, right) {
* this.val = (val===undefined ? 0 : val)
* this.left = (left===undefined ? null : left)
* this.right = (right===undefined ? null : right)
* }
*/
/**
* @param {TreeNode} root
* @param {number} val
* @return {TreeNode}
*/
var searchBST = function (root, val) {
while (root && root.val !== val) {
root = root.val > val ? root.left : root.right;
}
return root;
};
Kotlin
Recursion
/**
* Example:
* var ti = TreeNode(5)
* var v = ti.`val`
* Definition for a binary tree node.
* class TreeNode(var `val`: Int) {
* var left: TreeNode? = null
* var right: TreeNode? = null
* }
*/
class Solution {
fun searchBST(root: TreeNode?, `val`: Int): TreeNode? {
return when {
root == null -> null
root.`val` == `val` -> root
root.`val` > `val` -> searchBST(root.left, `val`)
else -> searchBST(root.right, `val`)
}
}
}
Iteration
/**
* Example:
* var ti = TreeNode(5)
* var v = ti.`val`
* Definition for a binary tree node.
* class TreeNode(var `val`: Int) {
* var left: TreeNode? = null
* var right: TreeNode? = null
* }
*/
class Solution {
fun searchBST(root: TreeNode?, `val`: Int): TreeNode? {
var cur = root
while (cur != null && cur.`val` != `val`) {
if (cur.`val` > `val`) {
cur = cur.left
} else {
cur = cur.right
}
}
return cur
}
}
PHP
Recursion
/**
* Definition for a binary tree node.
* class TreeNode {
* public $val = null;
* public $left = null;
* public $right = null;
* function __construct($val = 0, $left = null, $right = null) {
* $this->val = $val;
* $this->left = $left;
* $this->right = $right;
* }
* }
*/
class Solution
{
/**
* @param TreeNode $root
* @param Integer $val
* @return TreeNode
*/
function searchBST($root, $val)
{
if ($root == null || $root->val == $val) {
return $root;
}
return $root->val > $val ? $this->searchBST($root->left, $val) : $this->searchBST($root->right, $val);
}
}
Iteration
/**
* Definition for a binary tree node.
* class TreeNode {
* public $val = null;
* public $left = null;
* public $right = null;
* function __construct($val = 0, $left = null, $right = null) {
* $this->val = $val;
* $this->left = $left;
* $this->right = $right;
* }
* }
*/
class Solution
{
/**
* @param TreeNode $root
* @param Integer $val
* @return TreeNode
*/
function searchBST($root, $val)
{
while ($root != null && $root->val != $val) {
$root = $root->val > $val ? $root->left : $root->right;
}
return $root;
}
}
Python
Recursion
# Definition for a binary tree node.
# class TreeNode:
# def __init__(self, val=0, left=None, right=None):
# self.val = val
# self.left = left
# self.right = right
class Solution:
def searchBST(self, root: Optional[TreeNode], val: int) -> Optional[TreeNode]:
if root is None or val == root.val:
return root
return self.searchBST(root.left, val) if val < root.val \
else self.searchBST(root.right, val)
Iteration
# Definition for a binary tree node.
# class TreeNode:
# def __init__(self, val=0, left=None, right=None):
# self.val = val
# self.left = left
# self.right = right
class Solution:
def searchBST(self, root: Optional[TreeNode], val: int) -> Optional[TreeNode]:
while root is not None and root.val != val:
root = root.left if val < root.val else root.right
return root
Rust
Recursion
// Definition for a binary tree node.
// #[derive(Debug, PartialEq, Eq)]
// pub struct TreeNode {
// pub val: i32,
// pub left: Option<Rc<RefCell<TreeNode>>>,
// pub right: Option<Rc<RefCell<TreeNode>>>,
// }
//
// impl TreeNode {
// #[inline]
// pub fn new(val: i32) -> Self {
// TreeNode {
// val,
// left: None,
// right: None
// }
// }
// }
use std::rc::Rc;
use std::cell::RefCell;
impl Solution {
pub fn search_bst(root: Option<Rc<RefCell<TreeNode>>>, val: i32) -> Option<Rc<RefCell<TreeNode>>> {
if root.is_none() || root.as_ref().unwrap().borrow().val == val {
return root;
}
if root.as_ref().unwrap().borrow().val > val {
return Self::search_bst(root.as_ref().unwrap().borrow().left.clone(), val);
} else {
return Self::search_bst(root.as_ref().unwrap().borrow().right.clone(), val);
}
}
}
Iteration
// Definition for a binary tree node.
// #[derive(Debug, PartialEq, Eq)]
// pub struct TreeNode {
// pub val: i32,
// pub left: Option<Rc<RefCell<TreeNode>>>,
// pub right: Option<Rc<RefCell<TreeNode>>>,
// }
//
// impl TreeNode {
// #[inline]
// pub fn new(val: i32) -> Self {
// TreeNode {
// val,
// left: None,
// right: None
// }
// }
// }
use std::rc::Rc;
use std::cell::RefCell;
impl Solution {
pub fn search_bst(root: Option<Rc<RefCell<TreeNode>>>, val: i32) -> Option<Rc<RefCell<TreeNode>>> {
let mut node = root;
while let Some(rc_node) = node.clone() {
let cur_node = rc_node.borrow();
if rc_node.borrow().val == val {
return Some(rc_node.clone());
}
if rc_node.borrow().val > val {
node = rc_node.borrow().left.clone();
} else {
node = rc_node.borrow().right.clone();
}
}
None
}
}
Swift
Recursion
/**
* Definition for a binary tree node.
* public class TreeNode {
* public var val: Int
* public var left: TreeNode?
* public var right: TreeNode?
* public init() { self.val = 0; self.left = nil; self.right = nil; }
* public init(_ val: Int) { self.val = val; self.left = nil; self.right = nil; }
* public init(_ val: Int, _ left: TreeNode?, _ right: TreeNode?) {
* self.val = val
* self.left = left
* self.right = right
* }
* }
*/
class Solution {
func searchBST(_ root: TreeNode?, _ val: Int) -> TreeNode? {
if root == nil || root!.val == val {
return root
}
return searchBST(root!.val > val ? root!.left : root!.right, val)
}
}
Iteration
/**
* Definition for a binary tree node.
* public class TreeNode {
* public var val: Int
* public var left: TreeNode?
* public var right: TreeNode?
* public init() { self.val = 0; self.left = nil; self.right = nil; }
* public init(_ val: Int) { self.val = val; self.left = nil; self.right = nil; }
* public init(_ val: Int, _ left: TreeNode?, _ right: TreeNode?) {
* self.val = val
* self.left = left
* self.right = right
* }
* }
*/
class Solution {
func searchBST(_ root: TreeNode?, _ val: Int) -> TreeNode? {
var current = root
while current != nil && current!.val != val {
current = current!.val > val ? current!.left : current!.right
}
return current
}
}